-
Forum Matematică || Gimnaziu și Liceu
-
Forum matematică liceu
-
Forum
-
Matematică Liceu
-
Exercitii variante
×
Indicații, rezolvări și soluții pentru problemele și exercițiile de liceu.
Întrebare
Exercitii variante
Mai Puțin
Mai Mult
-
Postări: 4
-
Mulțumiri primite: 0
-
-
acum 9 ani 7 luni #754
de Ilinca98
Buna ziua!
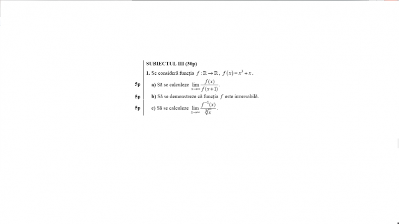
Ma puteti ajuta, va rog frumos, la urmatoarele exercitii? Stiu ca exista rezolvarile oficiale, insa eu as dori sa inteleg algoritmul de rezolvare, nu sa preiau rezultatul.La ambele exercitii ma intereseaza subpunctul c).
Va multumesc!
Vă rugăm Autentificare sau Crează un cont să participaţi la discuţie.
Mai Puțin
Mai Mult
-
Postări: 6
-
Mulțumiri primite: 1
-
-
acum 9 ani 7 luni - acum 9 ani 7 luni #755
de red_dog
Punctul c) de la prima problemă:
Cum e mai dificil de calculat inversa lui f, se impune o schimbare de variabilă.
Notăm \(f^{-1}(x)=y\). Atunci \(x=f(y)\). Se observă că dacă \(x\rightarrow\infty\), atunci \(y\rightarrow\infty\).
Atunci
\[\lim_{x\to\infty}\frac{f^{-1}(x)}{\sqrt[3]{x}}=\lim_{y\to\infty}\frac{y}{\sqrt[3]{f(y)}}=1\]
(Pentru calculul ultimei limite se scoate y factor forțat de sub radical)
Ultima Editare: acum 9 ani 7 luni de red_dog.
Vă rugăm Autentificare sau Crează un cont să participaţi la discuţie.
Acces Forum
-
Nepermis: pentru a crea subiect nou.
-
Nepermis: pentru a răspunde.
-
Nepermis: pentru a adăuga atașamente.
-
Nepermis: să-ți editeze mesajele.
-
Forum Matematică || Gimnaziu și Liceu
-
Forum matematică liceu
-
Forum
-
Matematică Liceu
-
Exercitii variante
Timp creare pagină: 0.092 secunde