×
Indicații, rezolvări și soluții pentru problemele și exercițiile de liceu.
Întrebare
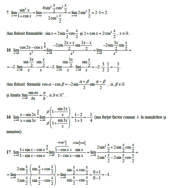
Limite trigonometrice
Acces Forum
- Nepermis: pentru a crea subiect nou.
- Nepermis: pentru a răspunde.
- Nepermis: pentru a adăuga atașamente.
- Nepermis: să-ți editeze mesajele.
Timp creare pagină: 0.114 secunde
