Evaluare Națională
Matematică Gimnaziu
Variante Oficiale
Evaluare Națională Matematică
Variante Oficiale și Simulari
Evaluare Națională Matematică
Culegere Online
Evaluarea Națională la Matematică
Culegere Online 2025
Evaluare Națională la Matematică 2025
Lecții Video
Teorie și aplicații pentru Evaluarea Națională
Lecții video pentru evaluarea națională
Algebră, geometrie plană, geometrie în spațiu
100 Variante Oficiale
Testare Națională 2007
100 Variante Oficiale cu Soluții
Culegere cu probleme rezolvate 2007
Evaluare Națională cls. a VI a
Subiecte și Bareme Matematică
Subiecte Oficiale Matematică
Evaluare Națională cls. a VI a
Simulări cls. a VIII a - Web
Evaluare Națională la Matematică
Simulări Evaluare Națională cls. a VIII a
Modele de teste Evaluare Națională Matematică
BAC Matematică
Matematică Liceu
BAC mate-info M1
BAC Matematică - Informatică
Variante BAC mate-info M1
Variante oficiale 2023, 2022, ... , 2009
Culegeri Online BAC mate-info M1
100 de variante cu rezolvări complete
Simulare BAC Mate-Info cls. a XI a
Simulări oficiale BAC Mate-Info M1
Simulări Online BAC Mate-Info
Culegere Online BAC Matematică
E-book BAC Matematică Mate-Info
Culegere pregătire BAC Mate-Info
BAC științele-naturii
BAC Matematică Știintele Naturii
Variante BAC șt-nat M2
Variante oficiale 2023, 2022, ... , 2009
Culegeri Online BAC șt-nat M2
78 de variante cu rezolvări complete
Simulare BAC Șt-Nat cls. a XI a
Simulări oficiale BAC Șt-Nat M2
Simulări Online BAC șt nat
Culegere Online BAC Matematică
E-book BAC Matematică Șt-Nat
Culegere pregătire BAC Științele Naturii
BAC Tehnologic M2
BAC Matematică Tehnic, Economic
Variante BAC tehnologic M2
Variante oficiale 2023, 2022, ... , 2009
Culegeri Online BAC Tehnologic M2
78 de variante cu rezolvări complete
Simulare BAC Teh cls. a XI a
Simulări oficiale BAC Tehnologic M2
Simulări Online BAC tehnologic
Culegere Online BAC Matematică
E-book BAC Matematică Tehnologic
Culegere pregătire BAC Tehnologic
BAC Pedagogic M3
BAC Matematică M3
Variante BAC Pedagogic M3
Variante oficiale 2023, 2022, ... , 2009
Culegeri Online BAC Pedagogic M3
100 de variante cu rezolvări complete
Simulare BAC Pedagogic cls. a XI a
Simulări oficiale BAC Pedagogic M3
E-book BAC Matematică Pedagogic
Culegere pregătire BAC Pedagogic
Teorie Matematică
Gimnaziu & Liceu
Teorie Mate Gimnaziu
Algebră, Geometrie Plană & Spațiu
Fișe teorie matematică gimnaziu
Algebră & Geometrie
Teorie Algebră Gimnaziu
Teorie Geometrie Plană Gimnaziu
Teorie Geometrie în Spațiu Gimnaziu
Teorie Mate Liceu
Algebră, Geometrie, Analiză Matematică
Fișe teorie matematică liceu
Alegebră, Analiză matematică, Geometrie
Teorie Algebră Liceu
Teorie Geometrie Liceu
Teorie Analiză Matematică Liceu
Lecții Matematică Geogebra
Vladimira Palasca & Dobre Andrei Octavian
Lecții Geometrie Plană - GeoGebra
Lecții interactive de geometrie plană
Lecții Geometrie în Spațiu - GeoGebra
Lecții interactive de geometrie în spațiu
Lecții Algebră - GeoGebra
Lecții interactive de algebră
Facultate
Admitere Facultate
Admitere Politehnică București
Subiecte Rezolvate Matematică
Subiecte Politehnică București
Subiecte cu rezolvări complete
Admitere Universitatea București
Subiecte Rezolvate Matematică
Subiecte Universitatea București
Subiecte Matematică cu Bareme și Rezolvări
Admitere ATM București
Subiecte Rezolvate Matematică - Fizică
Subiecte ATM Bucureșit
Subiecte Academia Tehnică Militară
Admitere AFT Sibiu
Subiecte Matematică
Subiecte AFT Sibiu
Subiecte Academia Forțelor Terestre
Forum Matematică
Gimnaziu și Liceu
Forum matematică gimnaziu
Forum matematică cls. V - VIII
Probleme Gimnaziu
Forum matematică liceu
Forum matematică cls. IX - XII
Probleme liceu
Categorii forum
Forum matematică mateinfo.ro
Categorii forum
Editor de Ecuații LaTex
Află cum scrii formule pe forum
Formule matematice pe forum
Reviste Matematică
MateInfo.ro & Sclipirea Minții
Revista Sclipirea Minții
ISSN 1716-3615
Revista Sclipirea Minții
Revistă de matematică
Revista MateInfo.ro
ISSN 2065 - 6432
Revista Electronică MateInfo.ro
Revistă online de matematică
Bibliotecă Matematică
Manuale, Culegeri & Cărți
Matematică Profesori
Documente, titularizare, grade
Titularizare Matematică
Subiecte și bareme
Titularizare Matematică
Subiecte și bareme oficiale
Definitivat Matematică
Subiecte și bareme
Definitivat Matematică
Subiecte și bareme oficiale
Documente Școlare
Planificări & Programe Școlare
Programe Școlare & Metodologii
Programe Matematică Gimnaziu și Liceu
Teste
Gimnaziu & Liceu
Teste inițiale gimnaziu
Modele oficiale .pdf
Teste inițiale liceu
Modele oficiale liceu .pdf
Olimpiadă Matematică
Subiecte, rezolvări OLM
Olimpiada de Matematică Gimnaziu și Liceu
Etapa locală din toate județele
OLM Locală 2025 Gimnaziu și Liceu
Subiecte și Soluții Etapa Locală
OLM Locală 2024 Gimnaziu și Liceu
Subiecte și Soluții Etapa Locală
OLM Locală 2023 Gimnaziu și Liceu
Subiecte și Soluții Etapa Locală
OLM Locală 2020 Gimnaziu și Liceu
Subiecte și Soluții Etapa Locală
Olimpiadă Matematică Liceu
Etapa județeană și națională
Olimpiadă Matematică Liceu
Subiecte și rezolvări
Subiecte și bareme - Olimpiada de Matematică cls. a IX a
Subiecte și bareme - Olimpiada de Matematică cls. a X a
Subiecte și bareme - Olimpiada de Matematică cls. a XI a
Subiecte și bareme - Olimpiada de Matematică cls. a XII a
Olimpiadă Matematică Gimnaziu
Etap județeană și națională
Olimpiadă Matematică Gimnaziu
Subiecte și rezolvări
Subiecte și bareme - Olimpiada de Matematică cls. a V a
Subiecte și bareme - Olimpiada de Matematică cls. a VI a
Subiecte și bareme - Olimpiada de Matematică cls. a VII a
Subiecte și bareme - Olimpiada de Matematică cls. a VIII a
Generator de teste
Pentru Evaluare Națională
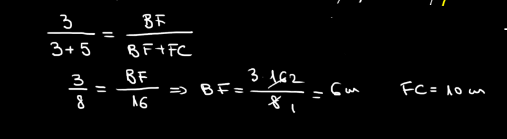
TEOREMA LUI THALES
Tipărire
Email
Detalii
Categorie:
Teorie Geometrie Plană Gimnaziu
Accesări: 8043
TEOREMA LUI THALES
Prec
Mai departe
Sunteți aici:
Acasă
Teorie Matematică || Gimnaziu & Liceu
Teorie Mate Gimnaziu || Algebră, Geometrie Plană & Spațiu
Teorie Geometrie Plană Gimnaziu
TEOREMA LUI THALES