- Forum Matematică || Gimnaziu și Liceu
- Forum matematică gimnaziu
- Forum
- Matematică Gimnaziu
- clasa a 7-a, geome, trigonometrie, sin 15 = ? , rezolvare mai usoara
×
Indicații, rezolvări și soluții pentru problemele și exercițiile de gimnaziu.
Întrebare
clasa a 7-a, geome, trigonometrie, sin 15 = ? , rezolvare mai usoara
- HelperDad
-
Autor Subiect
- Deconectat
- New Member
-
Mai Puțin
Mai Mult
- Postări: 6
- Mulțumiri primite: 0
acum 8 ani 7 luni #788
de HelperDad
HelperDad a creat subiectul: clasa a 7-a, geome, trigonometrie, sin 15 = ? , rezolvare mai usoara
Pb suna simplu: Sa se calculeze sin15 grade.
Am o rezolvare dar e prea complicata. O expun pe scurt: iau un triunghi cu unghiurile B=30,C=60,A=90. Duc bisectoarea unghiului C (ea intersecteaza AC in E) din E duc perpendiculara pe BC - ipotenuza din care rezulta pct F.
Si avem: din T bisect si o asemanare (plus 1 congruenta) putem obtine toate lungimile segmentelor din triunghi (fie numeric, fie notand laturile cu a,b,c - asta nu conteaza).
Rezulta sin 15 = EF/BE sau QD/QB (unde Q e intersectia intre inaltimea AD si bisectoarea BE). Calculul e insa unul destul de urat dpdv algebric si sigur exista o rezolvare mai usoara pentru 1 copil de clasa a 7-a. Mi-am adus aminte de relatiile trigonometrice cu unghiul dublu dar asta e o parte teoretica de liceu nu de gimnaziu. Multumesc anticipat.
Am o rezolvare dar e prea complicata. O expun pe scurt: iau un triunghi cu unghiurile B=30,C=60,A=90. Duc bisectoarea unghiului C (ea intersecteaza AC in E) din E duc perpendiculara pe BC - ipotenuza din care rezulta pct F.
Si avem: din T bisect si o asemanare (plus 1 congruenta) putem obtine toate lungimile segmentelor din triunghi (fie numeric, fie notand laturile cu a,b,c - asta nu conteaza).
Rezulta sin 15 = EF/BE sau QD/QB (unde Q e intersectia intre inaltimea AD si bisectoarea BE). Calculul e insa unul destul de urat dpdv algebric si sigur exista o rezolvare mai usoara pentru 1 copil de clasa a 7-a. Mi-am adus aminte de relatiile trigonometrice cu unghiul dublu dar asta e o parte teoretica de liceu nu de gimnaziu. Multumesc anticipat.
Vă rugăm Autentificare sau Crează un cont să participaţi la discuţie.
- gordianknot
-
- Deconectat
- Administrator
-
Mai Puțin
Mai Mult
- Postări: 164
- Karma: 3
- Mulțumiri primite: 37
acum 8 ani 7 luni #789
de gordianknot
gordianknot a răspuns subiectului: clasa a 7-a, geome, trigonometrie, sin 15 = ? , rezolvare mai usoara
Bună ziua,
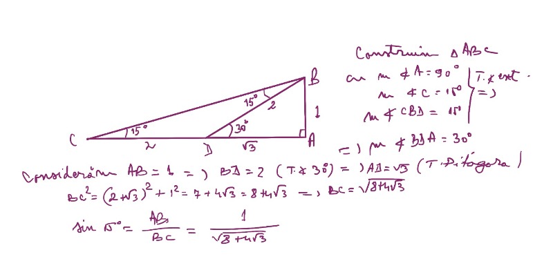
Aveti un desen: postimg.org/image/fvtfbcyz9/
(In triunghiul ABC: CA=CB, m(C) =30 si AC=2 - se calculeaza treptat: AD, CD, DB si AB).
Aveti un desen: postimg.org/image/fvtfbcyz9/
(In triunghiul ABC: CA=CB, m(C) =30 si AC=2 - se calculeaza treptat: AD, CD, DB si AB).
Următorul utilizator(ori) v-au spus Mulțumesc: cora2323
Vă rugăm Autentificare sau Crează un cont să participaţi la discuţie.
- HelperDad
-
Autor Subiect
- Deconectat
- New Member
-
Mai Puțin
Mai Mult
- Postări: 6
- Mulțumiri primite: 0
acum 8 ani 7 luni #790
de HelperDad
HelperDad a răspuns subiectului: clasa a 7-a, geome, trigonometrie, sin 15 = ? , rezolvare mai usoara
ah, da, corect. e mult mai usor asa, multumesc.
Vă rugăm Autentificare sau Crează un cont să participaţi la discuţie.
- augustin_devian
-
- Deconectat
- New Member
-
Mai Puțin
Mai Mult
- Postări: 1
- Mulțumiri primite: 0
acum 7 ani 8 luni - acum 7 ani 8 luni #825
de augustin_devian
augustin_devian a răspuns subiectului: clasa a 7-a, geome, trigonometrie, sin 15 = ? , rezolvare mai usoara
Ultima Editare: acum 7 ani 8 luni de augustin_devian.
Vă rugăm Autentificare sau Crează un cont să participaţi la discuţie.
Acces Forum
- Nepermis: pentru a crea subiect nou.
- Nepermis: pentru a răspunde.
- Nepermis: pentru a adăuga atașamente.
- Nepermis: să-ți editeze mesajele.
- Forum Matematică || Gimnaziu și Liceu
- Forum matematică gimnaziu
- Forum
- Matematică Gimnaziu
- clasa a 7-a, geome, trigonometrie, sin 15 = ? , rezolvare mai usoara
Timp creare pagină: 0.095 secunde
- Sunteți aici:
-
Acasă
-
Forum Matematică || Gimnaziu și Liceu
-
Forum matematică gimnaziu
-
Forum
-
Matematică Gimnaziu
- clasa a 7-a, geome, trigonometrie, sin 15 = ? , rezolvare mai usoara
