- Detalii
- Categorie: Știri Matematică 2018 - 2019
- Accesări: 44282
Culegere Online cu solutii si bareme complete gasiti pe www.mateinfo.ro.
- Detalii
- Categorie: Știri Matematică 2018 - 2019
- Accesări: 50915
PROBLEMA LUNII AUGUST 2017
Prove that in any triangle ABC is true the following inequality
Proposed by Kevin Soto Palacios, Huarmey, Peru
- Detalii
- Categorie: Știri Matematică 2018 - 2019
- Accesări: 71304
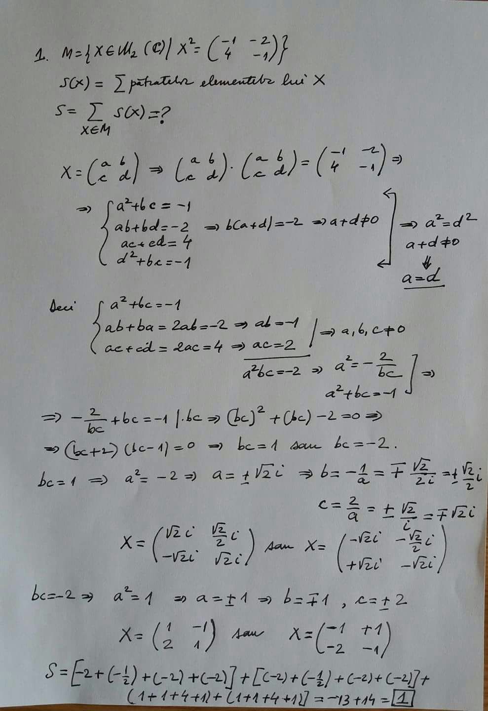
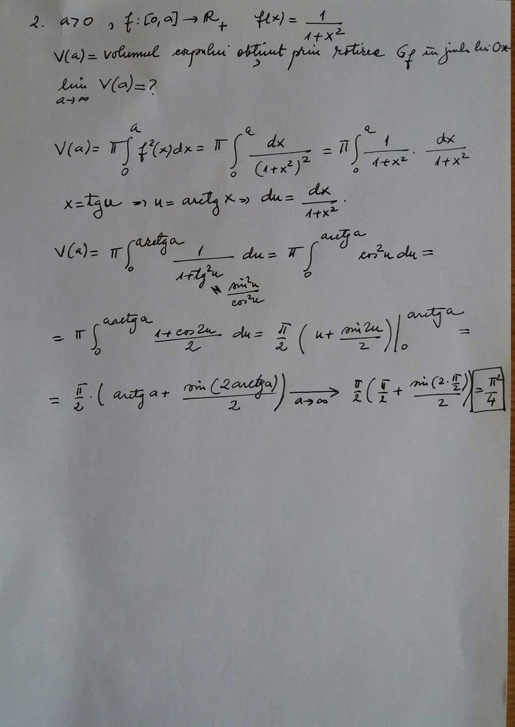
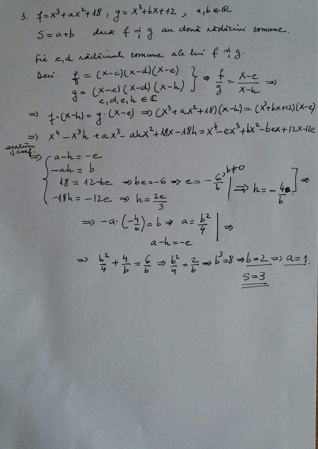
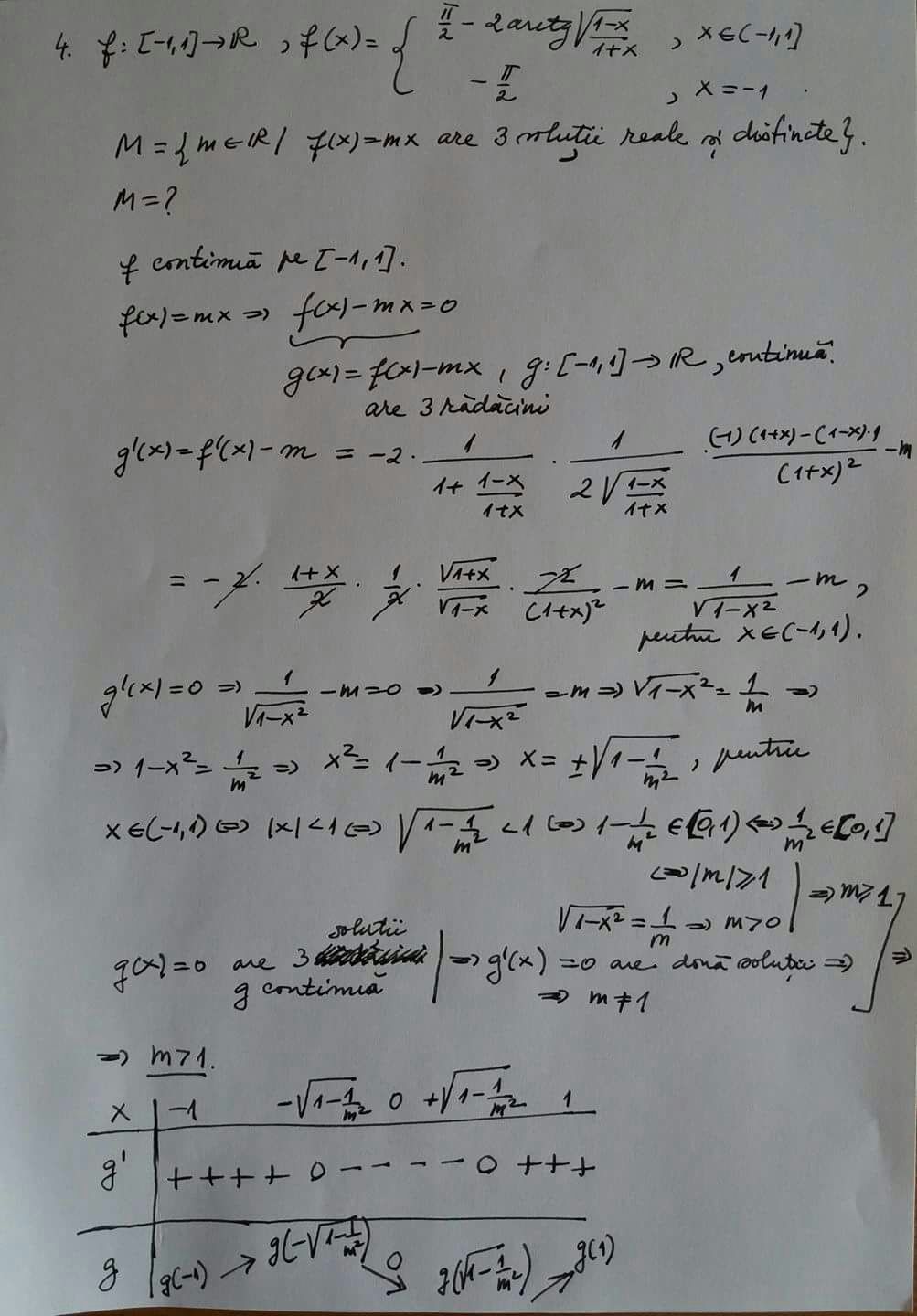
Rezolvarea Subiectelor Dificile date la Universitatea Politehică București 17.07.2017







